靜電消除器的Q&A基礎篇
彙整了靜電對策的基礎知識、靜電引發的故障或破壞,以及關於靜電消除器的常見Q&A。
-
對抗靜電的方法視採取對策的目標物而異,導體與絕緣體的防靜電方式不同。
一般而言,針對導體會採取接地措施,針對絕緣體則是採取導電化、濕度管理、使用靜電消除器等對策。接地

由於導體具有導電的性質,因此只要實施接地,所產生的靜電就可迅速透過接地線排出。
此方式雖然是低成本且簡單的防靜電對策,但對於不導電的絕緣體而言毫無效果。導電化
讓絕緣體具備導電性的對策有以下兩種方法。
-
- 防靜電噴霧(界面活性劑)
- 這是對絕緣體噴灑界面活性劑,以水膜覆蓋表面的方法。
-
- 在絕緣體內混入導電性物質
- 這是將碳或金屬粉末混入絕緣體內以降低絕緣體電阻值的方法。
濕度管理
這是管理空間濕度的方法。
一般來說相對濕度一旦超過65%就比較不容易產生靜電,因此只要管理濕度,使其維持在65%以上就不會產生靜電。
此方式雖然可進行大範圍的防靜電對策,但缺點就是成本太高且難以管理。靜電消除器
這是可生成正、負離子,藉此中和靜電的裝置。
這是非常高速且高精度的防靜電對策,也是目前最受歡迎的方法。 -
-
靜電消除器是半強制地將環境中的空氣分子電離成正離子或負離子,藉此生成空氣離子。
生成後的空氣離子將會撞擊帶電物將靜電中和。
- A:靜電消除器
- B:供應負離子
- C:中和
- D:帶正電的帶電物
- E:帶電「0」
-
靜電消除器是採用將空氣分子電離的方式消除靜電,分為「電暈放電式」與「電離輻射式」兩種。
電暈放電式是產生稱為電暈放電的放電現象,利用所產生的放電能量將空氣分子進行電離的方法。電離輻射式則是照射紫外線或軟X光等,藉此將空氣分子進行電離的方式。
-
電暈放電式的靜電消除器如圖所示,由電極針、高壓電源裝置、接地線三個部分所構成,是一款利用稱為電暈放電的放電現象來生成離子的靜電消除器。
電暈放電是對如針一般尖銳的物體施加高電壓(一般達3 kV以上)時所產生的現象,此時產生的放電能量能讓周圍的空氣分子離子化。
- A:電極針
- B:高壓電源
- C:接地
對電極針施加正極電壓,空氣中的水分子將會被電離而轉變成正離子,施加負極電壓則空氣中的二氧化碳和氧將轉變成負離子。
由於是對電極針施加電壓並生成同極性的離子,因此在生成的同時會產生斥力(庫倫力),將離子往前推出。正離子產生的機制

如圖所示,一旦對電極針施加正極的高電壓,將會把電極針周圍空氣分子的電子剝除。如此一來被剝除電子的分子將會帶正電,即成為正離子。由於對電極針施加的是正極電壓,因此正離子會與電極針相斥而跑向目標物。
負離子產生的機制

如圖所示,一旦對電極針施加負極的高電壓,電極針將會釋出電子。此時飛出的電子會撞擊電極針周圍的空氣分子,使其帶負電,即成為負離子。
由於對電極針施加的是負極電壓,因此負離子會與電極針相斥而跑向目標物。
-
靜電消除器必須具備的能力,就是「消除靜電的速度」與「離子平衡」。
消除靜電的速度快且離子平衡佳的靜電消除器即可被評價為「好的靜電消除器」。靜電消除速度

「靜電消除速度」是指能多快速去除目標物靜電的指標,通常是以將原本的電壓降到1/10為止的時間作為評價基準。
因此消除靜電的時間越短,當然就可被評價為「好的靜電消除器」。
離子平衡

「離子平衡」是指消除目標物的靜電時,能多接近0 V的程度,以及能否持續維持在接近0 V的指標,以±多少V以內作為評價基準。
而越接近0 V,當然就可以被評價為「好的靜電消除器」。
-
靜電消除器的能力取決於對電極針施加電壓的方法,以及放電方式。
放電方式有DC、AC、脈衝DC、脈衝AC方式4種,且靜電消除能力各有不同的特徵。DC方式
這是對電極針持續施加正極或負極直流電壓的方式。如圖所示,產生離子的範圍較廣,因此消除靜電的速度較快。但由於能產生的離子極性單一,離子平衡較差。

AC方式
這是對電極針施加交流電壓的方式。相較於DC方式,此方式可以交替產生正離子與負離子,因此其優勢就是離子平衡佳。但由於離子產生範圍較小,消除靜電的速度相對也較慢。

脈衝DC方式
其結構有產生正離子的電極針與產生負離子的電極針,並且分別對兩種電極針輪流施加直流電壓。靜電消除速度雖然比不上DC,但與AC方式不同,離子的產生範圍是以矩形波來表示,其特徵就是速度快。加上能交替產生正負離子,因此是離子平衡也較佳的方式。
此方式雖然靜電消除速度快且離子平衡佳,但有1點必須注意。
注意點:若為脈衝DC方式,必須注意棒型靜電消除器的使用方法!

- A:長邊方向
使用如圖所示的棒型靜電消除器時,以靜電消除棒的長邊方向來看,棒上有只產生正離子或只產生負離子的區域,因此長邊方向的離子平衡較差。特別是靜電消除目標物距離較近時,必須留意是否符合消除靜電的條件。
脈衝AC方式
而電壓的施加方法與脈衝DC方式相同,是採交替施加正極直流電源與負極直流電源的方式。因此是靜電消除速度佳且離子平衡優異的方式。
而與脈衝DC方式不同之處在於電極針。脈衝DC方式有固定產生正離子或負離子的電極針,但脈衝AC方式則1支電極針即可產生正離子與負離子。
如此一來可改善靜電消除棒長邊方向離子平衡不佳的缺點。
-
KEYENCE製的靜電消除器所有機型皆搭載「I.C.C.控制」。
搭載「I.C.C.控制」有下列三項優點。- 可感測帶電物的帶電量,並配合帶電量產生離子以達到更高速的除靜電效果
- 自動調整離子平衡,無需繁瑣的初始調整
- 面對經時變化(電極針髒污等)也能維持離子平衡0 V
一般靜電消除器使用的時間越長,就可能因電極針髒污導致靜電消除能力下降(靜電消除器的性能功效劣化,如靜電消除速度變慢,離子平衡變差等)。
對此,SJ-E系列搭載的「I.C.C.控制」功能,可隨時感測對目標物釋出離子的狀況,並反饋離子釋出量加以控制,以減輕經時使用下的能力劣化,尤其是離子平衡惡化等情況。利用「I.C.C.控制」控制離子平衡

- 量測條件
-
測量儀 靜電消除監視儀(150 mm/20 pF) 環境溫度 25℃恆定 環境濕度 35至45%Rh 設定距離 100 mm 稼動時間 24小時連續稼動
-
靜電消除器可使用的距離及不可使用的距離取決於靜電消除器產生離子的方法(靜電消除器的電壓施加方式)。
若使用靜電消除器時未考量裝設距離,不僅無法達到充分的消除靜電效果,最壞的情況是反而會使物體帶電,因此選擇靜電消除器時,必須配合裝設距離選擇最適合的靜電消除器(電壓施加方式)。
-
若要在靜電消除目標物的近處裝設靜電消除器,請務必注意靜電消除器的離子平衡。
若以離子平衡的觀點來考量,裝設位置若距離靜電消除目標物太近(300 mm以內),就不適用電壓施加方式為DC或脈衝DC方式的靜電消除器。
如圖所示,DC或脈衝DC方式的靜電消除器產生正、負離子的電極針的位置是固定的。
正如此,在正極的電極針下方只會產生正離子,在負極電極針下方只會產生負離子,因此如果靜電消除目標物距離太近,會因靜電消除器的電極針位置而造成離子平衡變差,消除目標物的靜電時會發生靜電消除不均的情況。若需要在靜電消除目標物的近處裝設靜電消除器,請務必使用單一電極針即可產生正離子與負離子的AC或脈衝AC方式的靜電消除器。
■長邊方向的離子平衡資料(安裝距離50 mm 代表例) 
上圖是近距離裝設時長邊方向的離子平衡數據。脈衝DC方式的靜電消除器就如圖所示,離子平衡會呈現約±400 V的上下鋸齒狀波形。
-
若要在距離靜電消除目標物較遠處裝設靜電消除器,重點就是須考量靜電消除器所產生離子是否能到達靜電消除目標物。根據離子移動距離的觀點考量,裝設位置若距離靜電消除目標物較遠(300 mm),就不適用電壓施加方式為AC方式的靜電消除器。
高頻
正離子與負離子相互抵銷,離子無法到達遠處。 AC方式的靜電消除器因正離子與負離子的產生週期較快,因此所產生的正離子與負離子將如圖所示重新結合並消失。如此一來離子將無法到達較遠處。
低頻
由於能一次產生大量的正離子與負離子,因此離子能到達較遠處。 因此若需要在距離靜電消除目標物較遠的位置裝設靜電消除器,挑選的重點就是能否將產生離子的週期設定為較慢的機型。
符合此條件的機型即是脈衝DC與脈衝AC方式的靜電消除器。
-
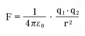
離子重新結合的現象其主要原因就是庫倫力。庫倫力是在帶有電荷的物體之間產生的作用力,以下列公式來表示。
q1、q2:電荷量
r2:距離庫倫力具有一項特性,就是與彼此電荷量的乘積成正比,與距離的平方成反比。
若最終結果庫倫力F的符號為+,將會產生斥力,符號為-則產生引力。正離子、負離子分別是指在釋出或接收電子後,帶有正、負電荷的空氣分子。因此一旦彼此靠近,當然就會因庫倫力(引力)起作用而結合。一旦離子結合,有過多電子的負離子會將電子還給電子不足的正離子,使兩者都恢復成空氣分子。如此一來就會產生離子重新結合的現象。
- A:負離子
- B:正離子
- C:空氣分子
-
若要近距離使用靜電消除器,依靜電消除速度與離子平衡的觀點考量,並不適合使用DC方式與脈衝DC方式,而是使用AC方式或脈衝AC方式較佳。
AC方式是產生較少離子量的方式,因此靜電消除速度是難以突破的缺點。
若要長距離使用靜電消除器,在相同觀點下AC方式是最不適合的,接下來依序是DC方式及脈衝DC方式,而靜電消除速度與離子平衡兩者都較佳的是脈衝AC方式。下表整理了裝設距離與靜電消除器放電方式的適用性。選擇靜電消除器時請參考此表。
方式 近距離 遠距離 速度 平衡 速度 平衡 DC × × ○ ○ AC × ○ × × 脈衝DC × × ○ ○ 脈衝AC ○ ○ ○ ○
-
靜電消除器的頻率所指的是產生離子的週期。
因此頻率的概念僅限可改變正離子與負離子產生週期的脈衝DC方式與脈衝AC方式。
如Q11的說明,離子可到達的距離取決於離子的產生週期,因此必須配合裝設距離設定最適當的頻率。近距離裝設時
- A:離子產生週期較快時可均勻供應兩種離子。
- B:離子產生週期較慢時,將會集中產生正離子或負離子。
若採近距離裝設,通常會設定較快的頻率(產生離子的週期)。
若頻率設定太慢,將會如上圖所示集中產生正離子或負離子,使離子平衡變差。長距離裝設時
若採長距離裝設,則如Q11所述,通常會設定較慢的頻率(產生離子的週期)。若頻率設定得過快,正離子與負離子會重新結合並消滅,造成離子無法到達靜電消除目標物。
-
除了設定頻率的方法外,其他另有對靜電消除器供應壓縮空氣的方法。
這是利用壓縮空氣的物理力量讓離子能飄得更遠,因此可讓靜電消除速度變快。此外,由於可將頻率設定得較快,因此離子平衡也會更好。利用壓縮空氣的靜電消除器不僅是為了提升靜電消除速度,另有利用壓縮空氣來保護電極針的靜電消除器類型。
- A:離子加速用
- B:保護電極針用
-
供應靜電消除器使用的空氣,請使用CDA(清潔乾燥空氣:網格尺寸0.01 μm、露點-25℃以下的程度)。
供應的空氣中若含有水分或油分,將會造成針尖凝結或空氣漏氣,並可能引發事故或導致故障。







