Sdr 界面展開面積比
定義範圍展開面積(表面積)相對於定義範圍面積增加的比例。
完全平坦表面的Sdr為0。

若表面存在傾斜,Sdr將變大。
下方表面為由45°傾斜成分構成的平面,Sdr變為0.414。(表面積增大了40%多。)


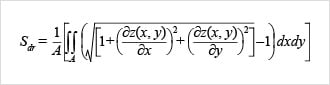
定義範圍展開面積(表面積)相對於定義範圍面積增加的比例。
完全平坦表面的Sdr為0。

若表面存在傾斜,Sdr將變大。
下方表面為由45°傾斜成分構成的平面,Sdr變為0.414。(表面積增大了40%多。)


「何謂表面粗糙度」頁面一覽