Sal 最小自相關長度
自相關函數最快減弱到特定值s(預設為0.2)方向的水平距離。
關於自相關函數
所謂自相關,係指影像處理中,移動圖像本身的座標而成的圖像,與量測能夠整合到何種程度的標準。
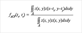
計算Sal、Str時使用的自相關函數如下。

為簡單說明此函數,僅以X方向說明。
首先,假設有如下所示的段差資料。

此資料的自相關如下。

簡單來說,自相關函數為求高度資料與高度資料本身偏移後,資料重疊的部分。
(下圖的黃色區域。)
如果偏移量小,會因為重疊的部分大,自相關也會變大。
如果偏移量大,會因為重疊的部分小,自相關也會變小。

段差急遽時,即使偏移量小,也會因形狀大幅變化,自相關函數會立刻衰減。
僅有平滑的形狀時,如果不大幅增加偏移量,形狀就不會改變,所以自相關函數就不太會衰減。
Sal為求出至自相關最快衰減的距離,可以判斷表面高度是否有急遽變化的地方。
此外,Str為求出至自相關最快衰減的距離,和至自相關最慢衰減的距離之比,可以判斷有無紋路。
